
|
신뢰성에 관한 Weibull 확률분포 신뢰성이란 시간의 측면에서 본 품질로서 일정 기간동안에 주어진 기능을 원활하게 수행할 수 있는 제품의 능력을 말한다. 신뢰성의 정량적인 척도인 신뢰도는 '시스템, 기기, 부품 등이 규정된 사용 조건에서 의도하는 기간동안 요구되는 기능을 수행할 확률'로서 정의된다. 따라서 제품의 신뢰도를 정확히 평가하기 위해서는 첫째, 제품에 요구되는 기능이 명확히 정의되어야 한다. 둘째, 제품의 사용 또는 환경조건이 규정되어야 하며, 마지막으로 제품의 사용기간을 측정할 수 있는 시간이나 시간에 상응하는 척도가 마련되어야 한다.
신뢰성에 사용되는 분포로는 이산분포, 정규분포, 대수정규분포, 감마(gamma)분포, 와이블(Weibul)분포 등이 있다. 이 중 와이블 분포는 신뢰도 계산에서 가장 널리 쓰이는 분포중의 하나로, 모수를 적절히 선택하면 다양한 고장률 형태를 모형화 할 수 있다. 스웨덴의 물리학자 와이블(W. Weibull)이 1939년 재료의 파괴강도에 대한 분포를 표시하기 위해 이 분포를 발표하였다. 형상 모수(shape parameter)와 척도 모수(scale parameter)의 2개의 모수를 갖는 와이블분포는 고장률 함수
여기서,
신뢰도 함수
여기서,
와이블 분포에 있어서 형상 모수
Fig. 1 The effect of the Weibull shape parameter on the PDF
Fig. 2 The effects of on the Weibull pdf for a common
Fig. 3 The effect of on the Weibull failure rate function
식(1)에서
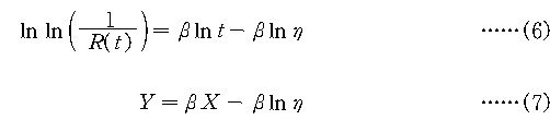
이러한 형상 모수와 척도 모수의 추정은 여러 방법이 있지만, 와이블 확률지 상에서의 모수 추정법은 다음과 같다. 고장시간
식(6)은 식(7)과 같이 직선의 함수로 나타낼 수 있다.
따라서, 형상 모수는 직선의 기울기이며, 척도 모수는 식(3)에서
이므로
Fig. 4 Drawing of Weibull distribution function
작용응력-강도 간섭 모델에 대한 파손 확률
반복응력이 작용하는 시스템에서 작용응력과 강도(strength)가 확률적인 분포를 갖는다고 가정하면, 작용응력과 강도간의 간섭에 의해서 작용응력이 강도를 초과하면 시스템이나 부품에 파손이 발생한다. 따라서, Fig.5과 같이 처음은 충분한 안전 여유를 갖고 있어도 작용응력의 반복 횟수가 증가하게 되면 강도의 열화가 일어나 파손의 확률이 증가하게 된다.
Fig. 5 Applied stress-strength interference model
강도와 작용응력이
여기서,
식(9)에서
이고, 파손확률은 식(14)와 같다.
식(14)에서,
라 하면, 파손확률은 식(16)과 같다.
|